ชื่อเอกสาร :   รับทราบรายงานการตรวจสอบงบดุล งบรายวัน - รายจ่ายเงินกองทุนประกันสังคมประจำปี 2543

 
  • หมวดหมู่
  • ระเบียบวาระการประชุมสภาผู้แทนราษฎร > ชุดที่ 21 > ปีที่ 2 > สมัยสามัญทั่วไป > ครั้งที่ 6 > (2) เรื่องที่ประธานจะแจ้งต่อที่ประชุม
  • ชื่อเอกสาร :
  • รับทราบรายงานการตรวจสอบงบดุล งบรายวัน - รายจ่ายเงินกองทุนประกันสังคมประจำปี 2543
  • เรื่อง :
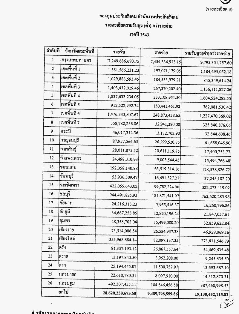
  • รายงานการตรวจสอบงบดุล งบรายวัน - รายจ่ายเงินกองทุนประกันสังคมประจำปี 2543
     
    รายการเอกสาร จำนวน  21 หน้า
       หน้าที่แล้ว |  11 |  12 |  13 |  14 |  15 |  16 |  17 |  18 |  19 |  20 | 
    หน้า 
    1
    2
    3
    4
    5
    6
    7
    8
    9
    10
    11
    12
    13
    14
    15
    16
    17
    18
    19
    20
    21
      ดาวน์โหลดเอกสาร  p0025.gif
       หน้าที่แล้ว |  11 |  12 |  13 |  14 |  15 |  16 |  17 |  18 |  19 |  20 |