ชื่อเอกสาร :   ร่างพระราชบัญญัติระเบียบข้าราชการครูและบุคลากรทางการศึกษา พ.ศ.... (นายประชาธิปไตย คำสิงห์นอก เนละนายประทีป กรีฑาเวช เป็นผู้เสนอ)

 
  • หมวดหมู่
  • ระเบียบวาระการประชุมสภาผู้แทนราษฎร > ชุดที่ 21 > ปีที่ 2 > สมัยสามัญนิติบัญญัติ > ครั้งที่ 3 > เรื่องด่วน
  • ชื่อเอกสาร :
  • ร่างพระราชบัญญัติระเบียบข้าราชการครูและบุคลากรทางการศึกษา พ.ศ.... (นายประชาธิปไตย คำสิงห์นอก เนละนายประทีป กรีฑาเวช เป็นผู้เสนอ)
  • เรื่อง :
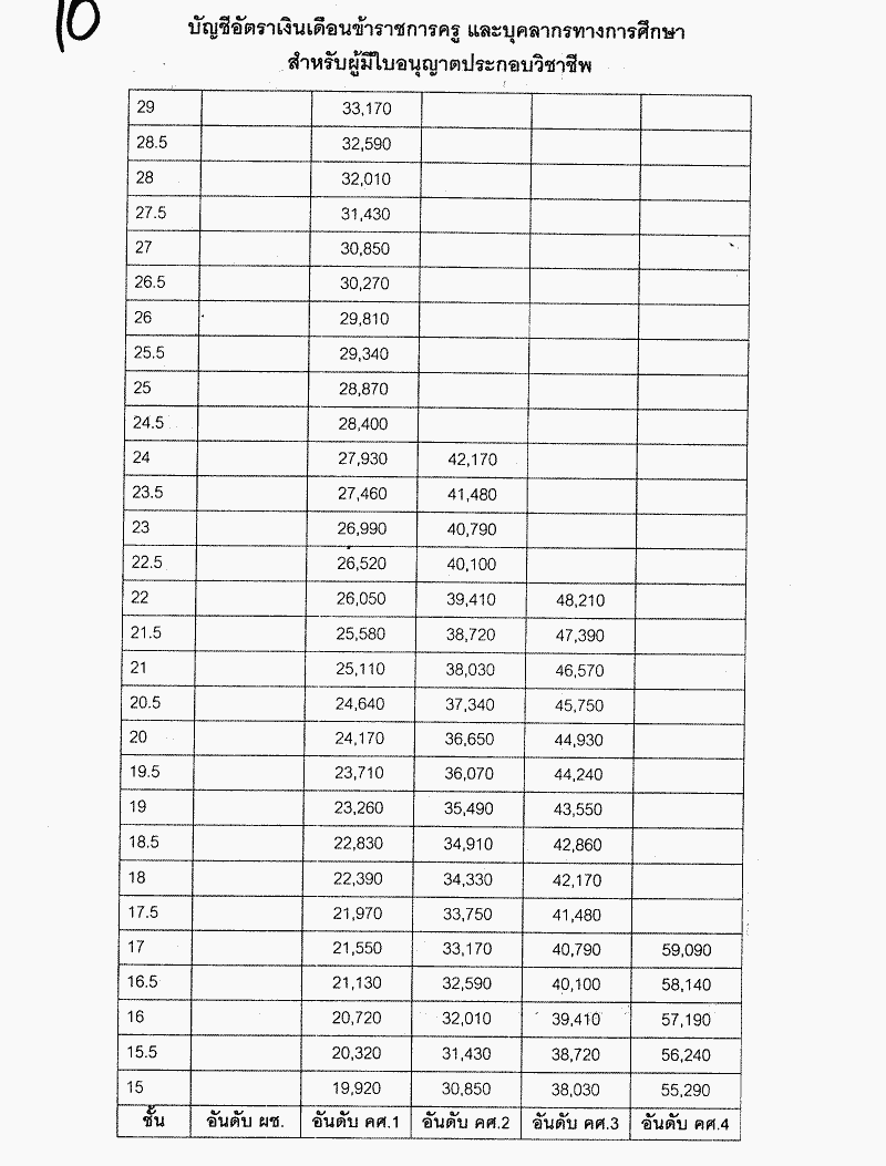
  • ร่างพระราชบัญญัติระเบียบข้าราชการครูและบุคลากรทางการศึกษา พ.ศ....
     
    รายการเอกสาร จำนวน  54 หน้า
       หน้าที่แล้ว |  51 |  52 |  53 |  54 |  55 |  56 |  57 |  58 |  59 |  60 | 
    หน้า 
    1
    2
    3
    4
    5
    6
    7
    8
    9
    10
    11
    12
    13
    14
    15
    16
    17
    18
    19
    20
    21
    22
    23
    24
    25
    26
    27
    28
    29
    30
    31
    32
    33
    34
    35
    36
    37
    38
    39
    40
    41
    42
    43
    44
    45
    46
    47
    48
    49
    50
    51
    52
    53
    54
      ดาวน์โหลดเอกสาร  p0054.gif
       หน้าที่แล้ว |  51 |  52 |  53 |  54 |  55 |  56 |  57 |  58 |  59 |  60 |